Lexikon der Chemie: Überführungszahl
Überführungszahl, Zahl, die den Beitrag des i-ten Ions zur gesamten spezifischen Leitfähigkeit eines Elektrolyten angibt:

.
Hierbei bedeuten ti die Überführungszahl des i-ten Ions, z die elektrochem. Wertigkeit, F die Faraday-Konstante, u die Ionenbeweglichkeit und c die Konzentration.
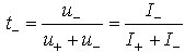
Für einen Elektrolyten, der in die gleiche Anzahl Kationen und Anionen zerfällt, gilt:
und
t+ + t- = 1 (I ist die Ionenleitfähigkeit).
Ü. lassen sich nach verschiedenen Methoden messen. Am gebräuchlichsten ist die Methode nach Hittorf. Eine Elektrolysezelle, die in Anoden-, Mittel- und Kathodenraum unterteilt ist, wird mit einem Elektrolyten bekannter Konzentration gefüllt. Durch die unterschiedlichen Wanderungsgeschwindigkeiten der Ionensorten stellen sich bei der anschließenden Elektrolyse im Anoden- und Kathodenraum verschiedene Elektrolytkonzentrationen ein. Aus diesen Konzentrationsänderungen lassen sich die Hittorfschen Ü. berechnen. Durch Hydratation werden bei der Wanderung der Ionen unterschiedliche Mengen Wasser mitgeführt, was bei der Konzentrationsbestimmung berücksichtigt werden muß. Korrigiert man diesen Fehler, so erhält man die wahren Ü.
Überführungszahl. Tab.: Überführungszahlen t von Anion und Kation einiger wäßriger Elektrolytlösungen bei 25 °C bezogen auf unendliche Verdünnung.
| |||
| KCl | 0,491 | 0,509 | |
| HCl | 0,821 | 0,179 | |
| KOH | 0,274 | 0,726 | |
| NaCl | 0,396 | 0,604 | |
| CuSO4 | 0,375 | 0,625 |
Wenn Sie inhaltliche Anmerkungen zu diesem Artikel haben, können Sie die Redaktion per E-Mail informieren. Wir lesen Ihre Zuschrift, bitten jedoch um Verständnis, dass wir nicht jede beantworten können.