Lexikon der Biochemie: Isoflavon
Isoflavon, ein natürlich vorkommendes Isoflavonoid, das das Isoflavonringsystem (Abb.) zur Grundlage hat. Es entsteht biosynthetisch aus entsprechend gebauten Chalkonen durch eine Wanderung der Arylgruppe im B-Ring vom C2 zum C3 während der Bildung des oxidierten Chromanringsystems (Isoflavonoide).
Genistein (5,7,4'-Trihydroxyisoflavon; F. 292°C) wurde bereits 1899 aus dem Farbstoff des Färberginsters (Genista tinctora) isoliert und anschließend in unterirdischem Klee (Trifolium subterraneum), Sojabohne und Früchten des Sophora japonica identifiziert. Genistein besitzt östrogene Aktivität und ist für die Unfruchtbarkeit australischer Schafe, die auf Weideland mit unterirdischem Klee grasen und für das "Frühjahrsüberschießen" der Milchproduktion bei Milchkühen in Großbritannien verantwortlich. Ein Hauptmetabolit von Genistein bei Tieren ist Equol (Abb.) [M.N. Cayen et al. Biochim. Biophys. Acta86 (1964) 56-64].
Leichte östrogene Aktivität (Erhöhung des Uterusgewichts bei Gabe an unreife Mäuse) zeigen Biochanin A(5,7-Dihydroxy-4'-methoxyisoflavon, Cicer arietinum, Ferreirea spectabilis, Trifolium spp.) und Prunetin(5,4'-Dihydroxy-7-methoxyisoflavon, Prunus puddum, P. avium, Pterocarpus angolensis). Für alle anderen I. fehlt ein eindeutiger Beweis für eine östrogene Aktivität.
Weitere Beispiele für I. mit einfachen Substituenten sind: Daidzein(4',7-Dihydroxyisoflavon, F. 323°C, Pueria spp. und andere Leguminosen), Orobol(3',4',5,7-Tetrahydroxyisoflavon, F. 270 °C, Wurzeln von Lathyrus montanus), Formononetin(7-Hydroxy-4'-methoxyisoflavon, Sojabohne, Trifolium subterraneum, T. pratense), Muningin(6,4'-Dihydroxy-5,7-dimethoxyisoflavon, Pterocarpus angolensis), Afrormosin (7-Hydroxy-6,4'-dimethoxyisoflavon, Afrormosia elata), Tlatlancuayin (5,2'-Dimethoxy-6,7-methylendioxyisoflavon, mexikanische "Tlatlancuaya" Iresine celosioides). Wie diese Aufzählung zeigt, ist das Isoflavonvorkommen zum großen Teil auf die Papilionoideen beschränkt, eine Unterfamilie der Leguminosen. Beachtenswerte Ausnahmen sind die I. aus Iris spp. (Iridaceae): 4',5,7-Trihydroxy-3',6-dimethoxyisoflavon (I. germanica), Iristectorigenin(7,5,3'-Trihydroxy-6,5'-dimethoxyisoflavon, I. tectorum, I. spuria), 5,7-Dihydroxy-6,2'-dimethoxyisoflavon (I. spuria) [A.S. Shawl et al. Phytochemistry23 (1984) 2405-2406].
Orobolund Pratensein(5,7,3'-Trihydroxy-4'-methoxyisoflavon) kommen in Bryum capillare vor, wo sie als 7-(6''-Malonyl)-glucosid vorliegen; dies ist die erste Veröffentlichung über das Vorkommen von I. in Moospflanzen (Bryophyten) [S. Anhut et al. Phytochemistry23 (1984) 1073-1075].
Wie andere Flavonoide liegen die I. in der Pflanze als Glycoside vor. Kohlenhydratkomponenten sind vor allem Glucose und Rhamnose. Beispiele sind: Daidzin(Daidzein-7-glucosid), Ononin(Formononetin-7-glucosid), Genistin(Genistein-7-glucosid), Sophoricosid(Genistein-4'-glucosid), Sophorabiosid(Genistein-4'-rhamnoglucosid), Prunetrin(Prunetin-7-glucosid), Iristectorin A(Iristectorigenin-7-glucosid).

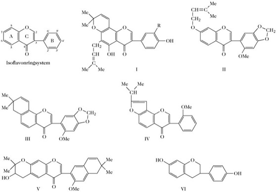
Isoflavone.
I: R = H, Osajin; R = OH, Pomiferin (Osaje-Orangenbaum, Maclura pomifera).
II: Maximasubstanz C (Tephrosia maxima).
III: Jamaicin (Piscidia erythrina).
IV: Muneton (Mundulea suberosa).
V: Mundulon (Mundulea sericea).
VI: Equol (Metabolit von Genistein bei Tieren).
Wenn Sie inhaltliche Anmerkungen zu diesem Artikel haben, können Sie die Redaktion per E-Mail informieren. Wir lesen Ihre Zuschrift, bitten jedoch um Verständnis, dass wir nicht jede beantworten können.