Lexikon der Arzneipflanzen und Drogen: Agrostemma githago
Agrostemma githago L.
(syn. Agrostemma nicaeense, Githago segetum, Lychnis githago); Kornnelke (syn. Kornrade, Rade), vgl. Abbildung.
Fam.: Caryophyllaceae.
Vork.: früher weitverbreitetes Ackerunkraut auf allen Kontinenten, heute in weiten Teilen ausgestorben.
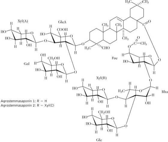
Droge:Agrostemmae semen; Kornradesamen. Inh.: aromatische Aminosäure Orcylalanin (0,4 %), Triterpensaponine (Githagosid, Agrostemmasaponin 1 und 2 vgl. Formel), das Ribosomen-inaktivierende Protein Agrostin, fettes Öl. Anw.: Früher wurde die Droge in der Volksheilkunde bei Hautunreinheiten, Gastritis, Husten, gegen Würmer und zur Entwässerung eingesetzt. Die Wirksamkeit bei diesen Indikationen ist nicht belegt. Kornradesamen sind stark giftig! Das giftige Prinzip wird gegenwärtig den Saponinen und dem Protein Agrostin zugeschrieben, der Mechanismus ist noch nicht vollständig aufgeklärt.
Hom.:Agrostemma githago HAB34, die getrockneten, reifen Samen. Anw.-Geb.: bei Magenschleimhautentzündungen.
Histor.: Seit dem Mittelalter wurde die Droge zur Behandlung von Geschwüren, Fisteln und Hämorrhagien genutzt. Ob sie mit der bereits im Altertum als Melanthium bekannten Droge identisch ist, wird allerdings bezweifelt. Gegen Ende des 18. Jh. ist die Droge aus dem Arzneischatz weitgehend verschwunden. A. githago hat in früheren Zeiten das Brotgetreide verunreinigt und damit bes. im Mittelalter zu Massenvergiftungen beigetragen, wobei erwähnt werden muß, daß auch Mutterkorn (Claviceps purpurea) hieran beteiligt war.

Agrostemma githago, Kornnelke

Wenn Sie inhaltliche Anmerkungen zu diesem Artikel haben, können Sie die Redaktion per E-Mail informieren. Wir lesen Ihre Zuschrift, bitten jedoch um Verständnis, dass wir nicht jede beantworten können.