Lexikon der Arzneipflanzen und Drogen: Marine Wirkstoffe
Marine Wirkstoffe
Ulrike Lindequist
Einführung
Marine Wirkstoffe sind chemische Verbindungen, die von Organismen des marinen Lebensraumes gebildet werden können und die im lebenden Organismus biologische Wirkungen hervorrufen. In Abhängigkeit von der Dosis sind sie als Arzneistoffe oder als Gifte für den Menschen von Bedeutung.
Bis jetzt ist nur ein Bruchteil der im Meer existierenden Organismenarten bekannt. Die Zahl der in dieser Umgebung lebenden Bakterienarten wird auf 400 000 bis 3 Millionen und die der Algenarten auf 200 000 bis 10 Millionen geschätzt. Auch die Vielfalt der Meerestiere ist sehr groß. Von den 34 bekannten Phyla der Tiere sind 33 in diesem Lebensraum vertreten, 15 kommen ausschließlich im Meer vor. Die Zahl der noch unbekannten marinen Tierarten, die größer als 0,3 mm sind, wird auf ca. 500 000 geschätzt.
Die Organismen zeichnen sich durch hohe biologische und chemische Diversität aus. Bis jetzt sind mehr als 6000 chemische Verbindungen aus marinen Organismen identifiziert worden. Über ihre Biogenesewege gibt es nur wenige Untersuchungen.
Pharmazeutisch bedeutsame Meeresprodukte werden bis heute vorwiegend wegen ihrer physiko-chemischen Eigenschaften (z.B. Agar und Carrageenan aus Rotalgen, Alginsäure aus Braunalgen) oder ihres Gehaltes an basischen Polypeptiden (Protamine aus Fischen) genutzt. Weitere haben ernährungsphysiologischen Wert und werden aufgrund ihres Gehaltes an Vitaminen (z.B. Vitamine A und D in Fischlebertranen), mehrfach ungesättigten Fettsäuren (z.B. Eicosapentaensäure und Docosahexaensäure in Fischölen, Kaltwasserfischen, biotechnologisch herstellbar z.B. in Kulturen von Dinoflagellaten) oder Carotinoiden (Farbstoffe des Hummer, biotechnologisch gewinnbar z.B. mit Hilfe von Algenkulturen) verwendet. Gerüstsubstanzen aus Korallenskeletten werden als bioabsorbierbare Materialien in der Knochenchirurgie eingesetzt. Die Nucleosidderivate Spongouridin und Spongothymidin vgl. Formel aus dem Schwamm Cryptothetia crypta dienten als Vorbild für die Synthese des Virostatikums Arabinosid A vgl. Formel, das vor mehr als 20 Jahren in die Therapie von Viruserkrankungen eingeführt wurde. Erwähnenswert ist auch der hohe Gehalt an Prostaglandinen in der karibischen Hornkoralle Plexaura homomalla.
Die intensive Suche nach marinen Wirkstoffen von möglicher therapeutischer Relevanz begann erst in den 70er Jahren. Seitdem ist die Zahl neu aufgefundener Substanzen in starker Zunahme begriffen. Folgende Organismengruppen aus dem Tierreich scheinen besonders reich an biologisch aktiven Verbindungen zu sein: Porifera (Schwämme; aus ihnen oder mit ihnen vergesellschafteten Organismen stammen ca. 40 % aller bisher bekannt gewordenen Verbindungen mariner Herkunft), Tunicata (Manteltiere, darunter Ascidiaceae, Seescheiden), Bryozoa (Moostierchen), Cnidaria (Nesseltiere, darunter die Korallentiere), Echinodermata (Stachelhäuter). Unter den wirkstoffbildenden marinen Mikroorganismen sind Bakterien, Cyanobakterien und Pilze zu nennen. Im Pflanzenreich zeichnen sich einige Rhodophyta (Rotalgen) und Phaeophyta (Braunalgen) durch ihre Fähigkeit zur Bildung halogenhaltiger und weiterer Verbindungen aus. Die an Wirkstoffen reichen Panzergeißler (Dinophyceae, Pyrrhophyceae) werden entweder den Algen (Phycophyta) oder als Dinoflagellata dem Tierreich zugeordnet. In vielen Fällen herrscht noch Unklarheit darüber, welche Organismen von Lebensgemeinschaften die eigentlichen Stoffproduzenten sind.
Hinsichtlich der geographischen Verbreitung stammen die Organismen, aus denen bisher marktfähige Naturstoffe gewonnen werden konnten, vornehmlich aus dem Pazifik (ca. 50 %), dem nordwestlichen Atlantik (ca. 30 %) sowie aus dem Indischen Ozean, dem Roten Meer und dem Mittelmeer (zusammen ca. 20 %). Die Lebewesen der übrigen Meere wurden bisher kaum untersucht.
Die Strukturvielfalt der marinen Wirkstoffe ist außerordentlich hoch. Oftmals handelt es sich um strukturell neuartige Verbindungen, die aus terrestrischen Lebewesen noch nicht isoliert worden sind. Häufig auftretende Stoffklassen sind Alkaloide, Peptide und Proteine, Aminosäuren, Nucleoside, Polyketide, Steroide, Terpene und Polysaccharide.
Auch die bisher gefundenen biologischen Aktivitäten weisen auf ein insgesamt breites Wirkungsspektrum hin. Marine Wirkstoffe verfügen z.B. über zytostatische/zytotoxische, antibakterielle, antifungale, antivirale, enzymhemmende, antiinflammatorische und immunmodulierende Eigenschaften. Diese biologisch aktiven Metabolite dürften für den Produzenten, der oft ortsunbeweglich ist oder in Konkurrenz mit anderen Lebewesen und Angreifern lebt, entscheidende Selektionsvorteile bringen.
Beispiele
Zu den Substanzen mit vorwiegend zytostatischer Wirkung gehören die Bryostatine, die Didemnine, die Ecteinascidine sowie Halichondrin B, Eleutherosid, Discodermide und Halomon. Die Verbindungen sind als potentielle Mittel zur Krebsbehandlung von Interesse.
Bei den Bryostatinen handelt es sich um Makrolide (biogenetisch vermutlich Polyketide), die zuerst aus dem Moostierchen Bugula neritina isoliert wurden, möglicherweise jedoch von Dinoflagellaten produziert werden. Besonders gut untersucht ist Bryostatin-1 vgl. Formel. Es aktiviert die Proteinkinase C ohne tumorpromovierend zu sein und hemmt konzentrationsabhängig die Proliferation von Tumorzellen (IC 50 P 388-Zellen 0,89 μg/ml). Außerdem wird die Differenzierung von Immunzellen gefördert. Die Verbindung kann mit Hilfe von Kulturen von Bugula neritina biotechnologisch gewonnen werden und befindet sich in der klinischen Prüfung.
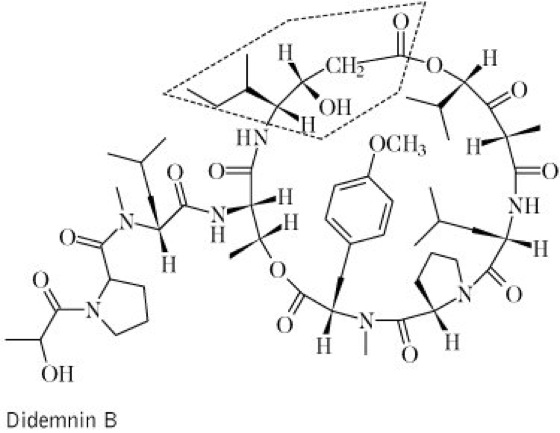
Die Didemnine stellen eine Gruppe von Cyclodepsipeptiden mit einem 23gliedrigen cyclischen Grundkörper dar, die aus der Seescheide Trididemnum solidum isoliert worden sind. Das am stärksten wirksame Didemnin B vgl. Formel zeichnet sich durch zytostatische (IC 50 0,0022 μg/ml bei L 1210-Leukämiezellen), antivirale (besonders bei Herpes-, Parainfluenza- und Coxsackie-Viren) und immunsuppressive Wirkungen aus und hemmt auch in vivo das Wachstum von Mamma-, Ovarial- und Nierentumoren. Einer therapeutischen Nutzung scheint die hohe Toxizität entgegenzustehen.
Von Seescheiden, in diesem Fall Ecteinascidia turbinata, werden auch die Ecteinascidine produziert. Es sind Tetrahydroisochinolinalkaloide, die durch kovalente Bindung an die DNA die Zellteilung hemmen. Ecteinascidin-743 vgl. Formel befindet sich in der klinischen Prüfung.
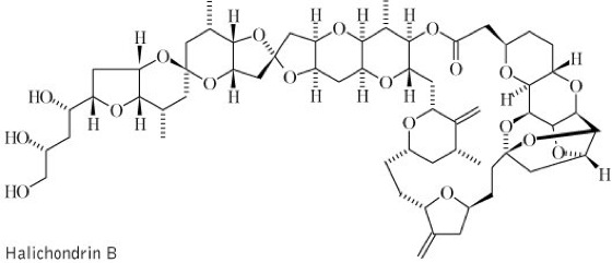
Halichondrin B vgl. Formel ist ein aus Halichondria okadai und anderen Schwämmen isoliertes makrocyclisches Lacton mit starker zytotoxischer Wirkung (IC 50 B16-Melanom-Zellen 0,093 ng/ml), dessen Aktivität durch die Wechselwirkung mit Tubulin zustande kommt. Bei Mäusen mit P-388-Tumoren verlängern 10 μg/kg Halichondrin B, i.p., die Überlebenszeit um ca. das Dreifache. Hauptproblem für eine mögliche therapeutische Nutzung ist die äußerst geringe Substanzausbeute. Zur Gewinnung von 12,5 mg Substanz sind ca. 600 kg Schwammaterial notwendig.
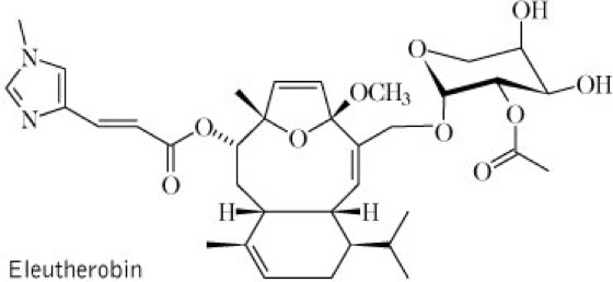
Eleutherobin vgl. Formel gehört strukturell zu den Terpenen und wurde aus einer an der australischen Westküste vorkommenden Weichkoralle der Gattung Eleutherobia gewonnen. Der Wirkungsmechanismus entspricht dem des aus der Pazifischen Eibe (Taxus brevifolia) stammenden Taxols, das als Zytostatikum in der Therapie bereits eine große Rolle spielt. Er besteht in der Stabilisierung der an der Zellteilung beteiligten Mikrotubuli und damit der Verhinderung der Ausbildung des Spindelapparats. Einen vergleichbaren Wirkungsmechanismus besitzt das aus Schwämmen (Discodermia dissoluta) stammende Discodermolide vgl. Formel. Das relativ einfach gebaute Halomon vgl. Formel ist ein hochhalogeniertes Monoterpen, das von der Rotalge Portieria hornemanii gebildet wird. Es zeichnet sich durch eine relativ selektive Wirkung gegen schwer angreifbare Tumorzellen, z.B. chemoresistente Koloncarcinomzellen, aus und befindet sich in der präklinischen Prüfung.
Die Pseudopterosine A-L sind ebenso wie das Sesterterpen Manoalid vgl. Formel vorwiegend entzündungshemmend wirksam. Bei den Pseudopterosinen handelt es sich um Glykoside mit einem Hexahydrophenalen-Ring als Aglykon und L-Fucose oder D-Arabinose als Zuckerkomponente, die aus der im tropischen Teil des Atlantik lebenden Lederkoralle Pseudopterogorgia elisabethae isoliert werden können. Pseudopterosin E vgl. Formel greift durch Hemmung der Phospholipase A2 und der 5-Lipoxygenase in die Biosynthese von Entzündungsmediatoren ein und wird äußerlich in Hautpflegeprodukten bereits angewendet. Manoalid wird aus dem Schwamm Luffariella variabilis erhalten und als experimentelle Standardsubstanz zur Hemmung der Phospholipase A2 eingesetzt.
Einige marine Wirkstoffe gehören zu den am stärksten wirksamen biogenen Giften. Im Verlaufe der Nahrungskette bzw. bei äußerlichem Kontakt mit aktiv giftigen Meerestieren können sie auch in den menschlichen Organismus gelangen.
Das Polyketid Palytoxin vgl. Formel wird u.a. im schleimigen Sekret von Palythoa-Arten (Krustenanemonen), die in der Gezeitenzone der tropischen Teile des Atlantik und des Pazifik in Kolonien leben, gefunden. Giftproduzenten sind wahrscheinlich symbiontisch lebende Bakterien. Es greift an Na+/K+-ATPasen an und induziert in Zellmembranen die Bildung unspezifischer Kationenkanäle. Auf diese Weise wirkt es irreversibel depolarisierend, daneben auch tumorpromovierend und stark hautreizend. Die letale Dosis beträgt 0,15 μg/kg, i.v., Maus.
Tetrodotoxin vgl. Formel ist ein Polyhydroxy-perhydro-2-imino-chinazolinderivat, das ebenso wie seine Analoga von in Meerestieren lebenden Bakterien (Vibrio-, Alteromonas- und anderen Arten) produziert wird und dessen Vorkommen in den Eingeweiden von Fischen (Pufferfische u.a.), deren Fleisch in Asien als Delikatesse gilt, von toxikologischer Relevanz ist. Tetrodotoxin bindet an Na+-Kanäle und verhindert somit die Reizübertragung. Die LD 50 beträgt bei Mäusen 332 μg/kg, p.o. Der Tod erfolgt durch Atemlähmung.
Die Gonyautoxine vgl. Formel, zu denen z.B. das Saxitoxin gehört, sind Purinderivate und werden in zahlreichen Dinoflagellaten (Protogonyaulax-Arten, Pyrodinium-Arten), aber auch in Cyanobakterien, Rotalgen, Muscheln, Krabben, Schnecken und Fischen gefunden. Das deutet auf mikrobielle Produzenten, eventuell im Inneren der Dinoflagellaten lebende Bakterien, hin. Die Verbindungen blockieren durch Bindung an die Na+-Kanäle selektiv und reversibel den Na+-Einstrom in reizbare Zellen und hemmen dadurch die Impulsübertragung. Sie sind Verursacher des "Paralytic Shellfish Poisoning", einer durch Taubheitsgefühle und Koordinationsstörungen charakterisierten Lebensmittelvergiftung des Menschen, die nach Verzehr toxinhaltiger Muscheln beobachtet wird und eine Letalität von ca. 15 % besitzt.
Auch die Okadainsäure vgl. Formel kann über die Nahrungskette in den menschlichen Organismus gelangen. Die Verbindung ist eine Polyethercarboxylsäure, die von Dinophysis-Arten gebildet wird und an Schwämme, Muscheln weitergegeben wird. Sie verursacht gemeinsam mit den Dinophysistoxinen eine als "Dinophysis Shellfish Poisoning" (DSP) bekannte und durch cholera-ähnliche Symptome gekennzeichnete Lebensmittelvergiftung. Der Wirkungsmechanismus besteht in der Hemmung der Proteinphosphatasen 1 und 2 A und damit der Modulation von Signaltransduktions- und Stoffwechselprozessen.
Neben zahlreichen in limnischen Gewässern vorkommenden Cyanobakterien (Blaualgen) werden einige auch im marinen Lebensraum gefunden. Cyanobakterien sind vor allem als Wasserblüten-Bildner bekannt. Aus verschiedenen Stämmen des marinen Cyanobakteriums Lyngbya majuscula wurden nicht nur therapeutisch interessante Lipopeptide (Microcolin A mit immunsuppressiver Aktivität, Majusculamide mit zytostatischer Wirkung) und das zytostatisch wirksame Curacin A gewonnen, sondern es wurden auch die stark hautreizenden und tumorpromovierenden Aplysiatoxine vgl. Formel (zu den Polyketiden gehörend) sowie das Indolalkaloid Lyngbyatoxin A vgl. Formel isoliert. Schwimmer können bei Kontakt mit den Organismen an einer als "seaweed dermatitis" oder "swimmers itch" bekannten Kontaktdermatitis erkranken.
Toxikologisch bedeutsame Nesseltiere sind z.B. Physalia physalis, die Portugiesische Galeere, und Chironex fleckeri, die Seewespe. Die Toxine werden in Nesselzellen gebildet, die vor allem auf den Tentakeln lokalisiert sind, und bei Berührung des auf der Außenseite der Nesselzellen befindlichen Cnidocils freigesetzt. Neben Hilfsfermenten und kleinmolekularen Bestandteilen sind im Toxingemisch Polypeptide mit 46 bis 51 Aminosäuren, die auf Natriumkanäle und somit neurotoxisch wirken und Proteine mit relativen Molekülmassen von 15 000 bis 21 000, die zytolytische Wirkung besitzen, enthalten.
Kegelschnecken, Conus-Arten, sind in subtropischen und tropischen Meeren vorkommende Toxinproduzenten, die wegen ihres schönen Gehäuses von Touristen gesammelt werden und durch Stich mit ihrem Giftpfeil nicht selten zu Vergiftungen führen. Die Giftgemische von z.B. C. geographus, C. textile oder C. magus bestehen vorwiegend aus linearen Peptiden, den sogenannten Conotoxinen. Sie setzen sich aus 13 bis 34 Aminosäuren zusammen, sind reich an L-Cystein und greifen durch spezifische Beeinflussung von Ionenkanälen in die neuromuskuläre Erregungsübertragung ein. Einige Conotoxine befinden sich in der klinischen Prüfung als potentielle Schmerzmittel.
Ausblick
Die Beispiele zeigen, daß marine Wirkstoffe für den Menschen von vielfältigem Nutzen sein, aber auch eine Gefährdung darstellen können. Sie sind beispielsweise als Arzneimittel, als Diätetika, als Kosmetika oder, besonders im Falle der Gifte, als experimentelle Hilfsmittel in Forschung und Diagnostik interessant. Die Einführung mariner Wirkstoffe auf den Markt ist nicht nur vom Ausgang der pharmakologischen und toxikologischen Prüfungen, sondern entscheidend auch von ihrer Zugänglichkeit abhängig. Gewinnungsmöglichkeiten sind die Isolierung aus den natürlichen Quellen, die allerdings durch den notwendigen Schutz der Biosphäre stark begrenzt ist, die chemische Synthese/Derivatisierung und die biotechnologische Gewinnung mit Hilfe des Originalproduzenten bzw. von gentechnologisch veränderten Wirtszellen.
Literatur:
Bongiorni, L., Pietra, F.: Marine natural products for industrial applications. Chemistry & Industry 1996: 54-58.
Bracher, F.: Seescheiden (Ascidien) – eine neue Quelle pharmakologisch aktiver Substanzen. Pharm. uns. Zeit 23 (1994) 147.
König, G., Wright, A.: Marine natural products research: Current directions and future potential. Planta med. 62 (1996) 193.
König, G., Wright, A.: Wirkstoffe aus marinen Organismen. Pharm. Ztg. 143 (1998) 4153.
Liberra, K., Lindequist, U.: Marine fungi – a prolific resource of biologically active natural products? Pharmazie 50 (1995) 583.
Lindequist, U., Teuscher, E.: Marine Wirkstoffe. Pharmazie 42 (1987) 1.
Pietra, F.: Secondary metabolites from marine microorganisms: Bacteria, protozoa, algae and fungi. Achievements and prospects. Nat. Prod. Rep. 14 (1997) 453.
Proksch, P.: Biologisch aktive Naturstoffe aus marinen Schwämmen. Dtsch. Apoth.Ztg. 134 (1994) 5069.
Teuscher, E., Lindequist, U.: Biogene Gifte. Gustav Fischer Verlag Stuttgart, Jena, New York, 2. Aufl. 1994.

















Wenn Sie inhaltliche Anmerkungen zu diesem Artikel haben, können Sie die Redaktion per E-Mail informieren. Wir lesen Ihre Zuschrift, bitten jedoch um Verständnis, dass wir nicht jede beantworten können.