Lexikon der Arzneipflanzen und Drogen: Nerium oleander
Nerium oleander L.
(syn. Nerium laurifolium); Oleander (syn. Rosenlorbeer), vgl. Abbildung.
Fam.: Apocynaceae.
Vork.: Aufrechter, kahler, kleiner Baum oder Strauch des Mittelmeerraumes, häufig als Kübelpflanze in Mitteleuropa kultiviert.
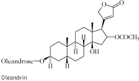
Droge:Oleandri folium (syn. Folia Nerii, Folia Nerii Oleandri, Folia Oleandri); Oleanderblätter (syn. Rosenlorbeerblätter), die getrockneten Laubblätter. Inh.: herzwirksame Glykoside vom Cardenolidtyp (1-2 %, v.a. Gentiobiosyl-Nerigosid, -Oleandrin vgl. Formel, Odorosid und Oleasid), Flavonolglykoside, besonders Rutosid, Triterpene (Betulin, Oleandrol) und ein saures Polysaccharid. Anw.: eingestelltes Oleanderpulver (Oleandri pulvis normatus) kann bei Herzmuskelschwäche, Altersherz und dekompensierter Herzinsuffizienz eingesetzt werden, in seiner Wirksamkeit ist es etwa zwischen Digitalis-purpurea-Zubereitungen (Digitalis-Arten) und Strophanthin einzuordnen. Da klinisch-pharmakologische Daten zur Wirkung der Droge weitgehend fehlen, wird ihre Anwendung nicht mehr empfohlen. Oleanderblätter sind wegen ihres Gehaltes an herzwirksamen Glykosiden als stark giftig anzusehen!
Hom.:Nerium oleander HAB 1, die frischen, vor Beginn der Blüte gesammelten Blätter. Anw.-Geb.: bei Herzerkrankungen, Verdauungsstörungen, nässenden Ekzemen, Lähmigkeit und Rheumatismus.
Histor.: Der Gattungsname Nerium vom griechischen nerion ist bei Dioskurides der Name von Nerium odorum. Die Bezeichnung Oleander wird vom lateinischen olea (Ölbaum) Bezug nehmend auf dessen ähnliche Blätter, abgeleitet. Oleanderblätter wurden bereits in der frühen arabischen Medizin als Heilmittel eingesetzt. In den Schriften des Dioskurides und Plinius ist die Droge ebenso enthalten wie auch in den Kräuterbüchern des 17. Jh., die eine Anwendung als Gegengift bei Schlangenbissen empfahlen und gleichzeitig auf die Giftigkeit der Pflanze hinwiesen. Der Gattungsname Nerium wird vom griechischen nerion (naß) abgeleitet, Bezug nehmend auf die feuchtigkeitsbedürftige Pflanze. Der Bezeichnung Oleander liegt das lateinische olea (Ölbaum) zugrunde, vermutlich wegen der Ähnlichkeit der Blätter mit diesem.

Nerium oleander, Oleander

Wenn Sie inhaltliche Anmerkungen zu diesem Artikel haben, können Sie die Redaktion per E-Mail informieren. Wir lesen Ihre Zuschrift, bitten jedoch um Verständnis, dass wir nicht jede beantworten können.