Direkt zum Inhalt

Lexikon der Geographie: Standardisierung

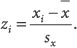
Standardisierung, 1)Allgemein: das Aufstellen von allgemein gültigen und akzeptierten festen Normen (Standards). 2) QualitativeMethoden: das im empirischen Forschungsprozess (Empirie) erzielbare Maß an Gezieltheit und Kontrolle der Instrumente der Datenerhebung (Beobachtung). Bei der standardisierten Vorgehensweisen müssen die Erhebungskategorien genau festgelegt werden, sodass der Projektleiter die Datenerhebung auch von Mitarbeitern durchführen lassen kann, die dann die Häufigkeiten bestimmter Merkmalsausprägungen festhalten und den entsprechenden Kategorien zuordnen. Wird beim Einsatz eines standardisierten Instrumentes sowohl in der Anwendung seines Erarbeiters als auch in Händen anderer dieselbe Güte von Resultaten erreicht, ist das ein Hinweis darauf, dass dem Konstanzprinzip und dem Kontrollprinzip ebenso Genüge getan wurde, wie dem Prinzip der Gezieltheit. Bei nichtstandardisierten Datenerhebungen muss der Forschungsverantwortliche selbst unmittelbar (beobachtend) anwesend, bzw. durchführender Beobachter sein, weil die relativ allgemein gehaltenen Erhebungskategorien ständig der Interpretation bedürfen und deshalb in der Hand einer anderen Person nicht tauglich sind. Gleichzeitig bietet aber diese Vorgehensweise ein breiteres Anwendungsspektrum und ein größeres Anpassungsvermögen an unvorhergesehene Situationen, was insbesondere bei direkten Beobachtungen zu einer bedeutend höheren Informationsqualität und umfassenden Informationsmenge führen kann. Nichtstandardisierte Formen weisen ein weniger überprüfbares und weniger explizites Raster des Beobachtungsplanes auf. Sie eignen sich aber, wegen der mit ihr zu erreichenden Informationsfülle insbesondere in der Aufbereitungsphase eines Forschungsprojektes dazu, sich einen Überblick über den Problembereich zu verschaffen. Daran anschließend können die forschungsrelevanten Beobachtungskategorien der standardisierten Beobachtung erarbeitet werden. Damit soll darauf hingewiesen sein, dass sich diese zwei Vorgehensweisen bei ihrer Anwendung auf einen bestimmten Problembereich nicht auszuschließen brauchen und auch nicht ausschließend abgegrenzt werden können. Sie stellen vielmehr Endpunkte eines Kontinuums von geringerer zu größerer Systematisierung, Kontrollierbarkeit und Mechanisierung des Erhebungsablaufs dar. Hochgradig standardisierte Formen können aber nur in einem theoretisch gut durchdrungenen und relativ einfach gegliederten Problemfeld leistungsfähig eingesetzt werden. Andererseits sind nur die mit standardisierten Instrumenten erhobenen Daten zur strengen Überprüfung von Theorien und Hypothesen verwendbar. Soll dieser Prozess erfolgreich zur Widerlegung oder vorläufigen Bestätigung von Hypothesen führen, müssen die Erhebungskategorien a) zahlenmäßig niedrig begrenzt sein, b) darf jede einzelne Kategorie nur eine Merkmalsdimension des definierten zentralen Begriffs aufweisen, c) muss jede Kategorie jede andere Kategorie des Erhebungsschemas ausschließen, sodass jedes Merkmal nur einer von ihnen eindeutig zugeordnet werden kann, und d) muss das mittels der Hypothese abgegrenzte Problemfeld mit der Summe der Kategorien derart vollständig abgedeckt werden, dass die beobachtbaren Sachverhalte einen systematischen Bezug zur Hypothese aufweisen und dass den Anforderungen der (operationalisierten) Hypothese(n) (Operationalisierung) ausreichend Rechnung getragen wird. Insgesamt kann man die Vorteile standardisierter Verfahren im empirischen Forschungsprozess auf sechs Punkte zusammenfassen. Erstens ist die individuelle Sicherheit der Beobachter groß, weil sie immer wissen, woran sie sich orientieren sollen. Ihr Zugang zum Erhebungskontext wird erleichtert. Zweitens kann die Datenerhebung gezielter vorgenommen werden und die relevanten Merkmalsausprägungen können schneller und leichter erfasst werden. Drittens ist der empirische Forschungsprozess leichter planbar, womit Kosten- und Zeitbudget klarer absehbar werden. Viertens sind Erhebung und Resultate leichter kontrollierbar. Fünftens können Erhebungskategorien explizit theoretisch begründet werden, und sechstens werden Fehler bei der Operationalisierung leichter identifizierbar. 3)Quantitative Methoden: z-Transformation, ein statistisches Normierungsverfahren für Variablen mit dem Ziel, Mittelwert und Standardabweichung jeweils auf einen festen und gleichen Wert zu setzen, während alle anderen statistischen Verteilungseigenschaften unverändert bleiben. Die Standardisierung wird erreicht durch eine Transformation der Variablen X zu einer Variablen Z in Form von:



Die standardisierte Variable Z hat dann den Mittelwert z=0 und die Standardabweichung s z=1. 4)Wirtschaftswissenschaften: Standardisierung von Arbeitsabläufen als wesentliches Kennzeichen der industriellen Revolution und der fordistischen Produktionsweise (Fordismus). Die Standardisierung von Arbeitsabläufen und technische Normen sind eine notwendige Voraussetzung für die Arbeitsteilung. Sie erleichtert die Koordination und Kontrolle großer Organisationen, trägt dazu bei, Kontrollkrisen zu vermeiden und Kosten zu senken und ist ein wichtiges Element der Bürokratisierung. Die Standardisierung besteht aus festen Regeln, die das im Laufe der Zeit angehäufte Wissen einer Organisation repräsentieren (Organisationstheorie). Aufgrund dieser Regeln kann Ungewissheit verringert werden, sodass für standardisierte Arbeitsabläufe auch weniger Qualifikationen erforderlich sind (vertikale Arbeitsteilung). Standardisierte Arbeitsabläufe werden im Rahmen der räumlichen Arbeitsteilung häufig an die Peripherie bzw. in Regionen mit niedrigen Lohnkosten verlagert (Zentrum-Peripherie-Modell).

  • Die Autoren

Redaktion:
Dipl.-Geogr. Christiane Martin (Leitung)
Dipl.-Geogr. Dorothee Bürkle
Dipl.-Geol. Manfred Eiblmaier

Fachkoordinatoren und Herausgeber:
Prof. Dr. Ernst Brunotte (Physische Geographie)
Prof. Dr. Hans Gebhardt (Humangeographie)
Prof. Dr. Manfred Meurer (Physische Geographie)
Prof. Dr. Peter Meusburger (Humangeographie)
Prof. Dr. Josef Nipper (Methodik)

Autorinnen und Autoren:
Prof. Dr. Patrick Armstrong, Perth (Australien) [PA]
Kurt Baldenhofer, Friedrichshafen [KB]
Prof. Dr. Yoram Bar-Gal, Haifa (Israel) [YBG]
Prof. Dr. Christoph Becker, Trier [CB]
Prof. Dr. Carl Beierkuhnlein, Rostock [CBe]
Prof. Dr. Jörg Bendix, Marburg [JB]
Dr. Markus Berger, Braunschweig [MB]
Prof. Dr. Helga Besler, Köln [HBe]
Prof. Dr. Hans Heinrich Blotevogel, Duisburg [HHB]
Dipl.-Geogr. Oliver Bödeker, Köln [OBö]
Prof. Dr. Hans Böhm, Bonn [HB]
Dr. Hans Jürgen Böhmer, München [HJB]
Dr. Thomas Breitbach, Köln [TB]
Dr. Heinz Peter Brogiato, Leipzig [HPB]
Prof. Dr. Ernst Brunotte, Köln [EB]
Dr. Olaf Bubenzer, Köln [OB]
Dipl.-Geogr. Dorothee Bürkle, Köln [DBü]
Prof. Dr. Detlef Busche, Würzburg [DB]
Dr. Tillmann Buttschardt, Karlsruhe [TBu]
Dr. Thomas Christiansen, Gießen [TC]
Dr. Martin Coy, Tübingen [MC]
Prof. Dr. Ulrich Deil, Freiburg [UD]
Prof. Dr. Jürgen Deiters, Osnabrück [JD]
Dr. Klaus Dodds, London [KD]
Prof. Dr. Heiner Dürr, Bochum [HD]
Dirk Dütemeyer, Essen [DD]
PD Dr. Rainer Duttmann, Hannover [RD]
Dipl.-Geogr. Susanne Eder, Basel [SE]
Dr. Jürgen Ehlers, Hamburg [JE]
Dipl.-Geol. Manfred Eiblmaier, Köln [ME]
Dr. Hajo Eicken, Fairbanks (USA) [HE]
Dr. Wolf-Dieter Erb, Gießen [WE]
Dr. Heinz-Hermann Essen, Hamburg [HHE]
Dr. Heinz-Hermann Essen, Hamburg [HHE]
Dr. Eberhard Fahrbach, Bremerhaven [EF]
Prof. Dr. Heinz Faßmann, Wien [HF]
Prof. Dr. Peter Felix-Henningsen, Gießen [PF]
Beate Feuchte, Berlin [BF]
Robert Fischer M.A., Frankfurt a.M. [RF]
Prof. Dr. Otto Fränzle, Kiel [OF]
Tim Freytag, Heidelberg [TM]
Dr. Heinz-W. Friese, Berlin [HWF]
Dr. Martina Fromhold-Eisebith, Seibersdorf [MFE]
Prof. Dr. Wolf Gaebe, Stuttgart [WG]
Dr. Werner Gamerith, Heidelberg [WGa]
Prof. Dr. Paul Gans, Mannheim [PG]
Prof. Dr. Hans Gebhardt, Heidelberg [HG]
Prof. Dr. Gerd Geyer, Würzburg [GG]
Prof. Dr. Rüdiger Glaser, Heidelberg [RGl]
Prof. Dr. Rainer Glawion, Freiburg i. Br. [RG]
Dr.-Ing. Konrad Großer, Leipzig [KG]
Mario Günter, Heidelberg [MG]
Prof. Dr. Wolfgang Haber, München [WHa]
Prof. Dr. Jürgen Hagedorn, Göttingen [JH]
Dr. Werner Arthur Hanagarth, Karlsruhe [WH]
Dr. Martin Hartenstein, Karlsruhe [MHa]
Prof. Dr. Ingrid Hemmer, Eichstädt [ICH]
Prof. Dr. Gerhard Henkel, Essen [GH]
Prof. Dr. Reinhard Henkel, Heidelberg [RH]
Dipl.-Geogr. Sven Henschel, Berlin [SH]
Prof. Dr. Bruno Hildenbrand, Jena [BH]
Dr. Hubert Höfer, Karlsruhe [HH]
Prof. Dr. Karl Hofius, Boppard [KHo]
Prof. Dr. Karl Hoheisel, Bonn [KH]
Prof. Dr. Hans Hopfinger, Eichstätt [HHo]
Michael Hoyler, Heidelberg [MH]
Dipl.-Geogr. Thorsten Hülsmann, Bonn [TH]
Ina Ihben, Köln [II]
Prof. Dr. Jucundus Jacobeit, Würzburg [JJ]
Dipl.-Geogr. Ingrid Jacobsen, Berlin [IJ]
Prof. Dr. Martin Jänicke, Berlin [MJ]
Dr. Jörg Janzen, Berlin [JJa]
PD Dr. Eckhard Jedicke, Bad Arolsen [EJ]
Dr. Hiltgund Jehle, Berlin [HJe]
Dr. Karin Jehn, Karlsruhe [KJ]
Prof. Dr. Hubert Job, München [HJo]
Dipl.-Geogr. Heike Jöns, Heidelberg [HJ]
Prof. Dr. Peter Jurczek, Jena [PJ]
Prof. Dr. Masahiro Kagami, Tokio [MK]
Prof. Dr. Andreas Kagermeier, Paderborn [AKa]
Dr. Daniela C. Kalthoff, Bonn [DCK]
Dr. Andrea Kampschulte, Basel [AKs]
Dr. Gerwin Kasperek, Gießen [GKa]
Prof. Dr. Dieter Kelletat, Essen [DK]
Prof. Dr. Franz-Josef Kemper, Berlin [FJK]
Farid El Kholi, Berlin [FE]
Dr. Günter Kirchberg, Speyer [GK]
Dr. Thomas Kistemann, Bonn [TK]
Prof. Dr. Dieter Klaus, Bonn [DKl]
Prof. Dr. Arno Kleber, Bayreuth [AK]
Prof. Dr. Hans-Jürgen Klink, Bochum [HJK]
Prof. Dr. Wolf Günther Koch [WK]
Dr. Franz Köhler, Gotha [FK]
Dipl.-Geogr. Bernhard Köppen, Chemnitz [BK]
Dipl.-Geogr. Kirsten Koop, Berlin [KK]
Prof. Dr. Christoph Kottmeier, Karlsruhe [CK]
Dr. Caroline Kramer, Heidelberg [CKr]
Dr. Klaus Kremling, Kiel [KKr]
Prof. Dr. Eberhard Kroß, Bochum [EKr]
Prof. Dr. Elmar Kulke, Berlin [EK]
Prof. Dr. Wilhelm Kuttler, Essen [WKu]
Dipl.-Geogr. Christian Langhagen-Rohrbach, Frankfurt a.M. [CLR]
Dr. Harald Leisch, Köln [HL]
Prof. Dr. Bärbel Leupolt, Hamburg [BL]
Prof. Dr. Hartmut Lichtenthaler, Karlsruhe [HLi]
Dipl.-Geogr.Christoph Mager, Heidelberg [CMa]
Dipl.-Geogr. Christiane Martin, Köln [CM]
Prof. Dr. Jörg Matschullat, Freiberg [JMt]
Prof. Dr. Alois Mayr, Leipzig [AMa]
Dipl.-Geogr. Heidi Megerle, Schlaitdorf [HM]
Dr. Andreas Megerle, Tübingen [AM]
Dipl.-Geogr. Astrid Mehmel, Bonn [AMe]
Prof. Dr. Jens Meincke, Hamburg [JM]
Dipl. Geogr. Klaus Mensing, Hamburg [KM]
Dipl.-Geogr. Klaus Mensing, Hamburg [KM]
Dipl.-Geogr. Rita Merckele, Berlin [RM]
Prof. Dr. Manfred Meurer, Karlsruhe [MM]
Prof. Dr. Peter Meusburger, Heidelberg [PM]
Prof. Dr. Georg Miehe, Marburg [GM]
Prof. Dr. Werner Mikus, Heidelberg [WM]
Prof. Dr. Thomas Mosimann, Hannover [TM]
Renate Müller, Berlin [RMü]
PD Dr. Hans-Nikolaus Müller, Luzern [HNM]
Prof. Dr. Detlef Müller-Mahn, Bayreuth [DM]
Prof. Dr. Heinz Musall, Gaiberg [HMu]
Prof. Dr. Frank Norbert Nagel, Hamburg [FNN]
Dipl.-Geogr. Martina Neuburger, Tübingen [MN]
Dipl.-Geogr. Peter Neumann, Münster [PN]
Prof. Dr. Jürgen Newig, Kiel [JNe]
Prof. Dr. Josef Nipper, Köln [JN]
Prof. Dr. Helmut Nuhn, Marburg [HN]
Dr. Ludwig Nutz, München [LN]
Prof. Dr. Jürgen Oßenbrügge, Hamburg [JO]
Dipl.-Geogr. Maren Ott, Frankfurt a.M. [MO]
Prof. Dr. Karl-Heinz Pfeffer, Tübingen [KP]
Dipl.-Geogr. Michael Plattner, Marburg [MP]
Dipl.-Geogr. Martin Pöhler, Tübingen [MaP]
Prof. Dr. Karl-Heinz Pörtge, Göttingen [KHP]
Prof. Dr. Jürgen Pohl, Bonn [JPo]
Prof. Dr. Ferenc Probáld, Budapest [FP]
PD Dr. Paul Reuber, Münster [PR]
Dipl.-Bibl. Sabine Richter, Bonn [SR]
Prof. Dr. Otto Richter, Braunschweig [OR]
Prof. Dr. Michael Richter, Erlangen [MR]
Prof. Dr. Gisbert Rinschede, Regensburg [GR]
Gerd Rothenwallner, Frankfurt a.M. [GRo]
Dr. Klaus Sachs, Heidelberg [KS]
Prof. Dr. Wolf-Dietrich Sahr, Curitiba (Brasilien) [WDS]
Dr. Heinz Sander, Köln [HS]
Dipl.-Geogr. Bruno Schelhaas, Leipzig [BSc]
Dipl.-Geogr. Jens Peter Scheller, Frankfurt a.M. [JPS]
Prof. Dr. Winfried Schenk, Tübingen [WS]
Dr. Arnold Scheuerbrandt, Heidelberg [AS]
Dipl.-Geogr. Heiko Schmid, Heidelberg [HSc]
Prof. Dr. Konrad Schmidt, Heidelberg [KoS]
Prof. Dr. Thomas Schmitt, Bochum [TSc]
PD Dr. Elisabeth Schmitt, Gießen [ES]
Prof. Dr. Jürgen Schmude, Regensburg [JSc]
Prof. Dr. Rita Schneider-Sliwa, Basel [RS]
Dr. Peter Schnell, Münster [PSch]
Dr. Thomas Scholten, Gießen [ThS]
Prof. Dr. Karl-Friedrich Schreiber, Münster [KFS]
Dipl.-Geogr. Thomas Schwan, Heidelberg [TS]
Prof. Dr. Jürgen Schweikart, Berlin [JüS]
Dr. Franz Schymik, Frankfurt a.M. [FS]
Prof. Dr. Peter Sedlacek, Jena [PS]
Prof. Dr. Günter Seeber, Hannover [GSe]
Prof. Dr. Martin Seger, Klagenfurt [MS]
Nicola Sekler, Tübingen [NSe]
Dr. Max Seyfried, Karlsruhe [MSe]
Christoph Spieker M.A., Bonn [CS]
Prof. Dr. Jürgen Spönemann, Bovenden [JS]
PD Dr. Barbara Sponholz, Würzburg [BS]
Prof. Dr. Albrecht Steinecke, Paderborn [ASte]
Prof. Dr. Wilhelm Steingrube, Greifswald [WSt]
Dr. Ingrid Stengel, Würzburg [IS]
Dipl.-Geogr. Anke Strüver, Nijmwegen [ASt]
Prof. Dr. Dietbert Thannheiser, Hamburg [DT]
Prof. Dr. Uwe Treter, Erlangen [UT]
Prof. Dr. Konrad Tyrakowski, Eichstätt [KT]
Alexander Vasudevan, MA, Vancouver [AV]
Martin Vogel, Tübingen [MV]
Prof. Dr. Joachim Vogt, Berlin [JVo]
Dr. Joachim Vossen, Regensburg [JV]
Dr. Ute Wardenga, Leipzig [UW]
Prof. Dr. Bernd Jürgen Warneken, Tübingen [BJW]
Dipl.-Geogr. Reinhold Weinmann, Heidelberg [RW]
Prof. Dr. Benno Werlen, Jena [BW]
Dr. Karin Wessel, Berlin [KWe]
Dr. Stefan Winkler, Trier [SW]
Prof. Dr. Klaus Wolf, Frankfurt a.M. [KW]
Dr. Volker Wrede, Krefeld [VW]

Grafik:
Mathias Niemeyer (Leitung)
Ulrike Lohoff-Erlenbach
Stephan Meyer

Schreiben Sie uns!

Wenn Sie inhaltliche Anmerkungen zu diesem Artikel haben, können Sie die Redaktion per E-Mail informieren. Wir lesen Ihre Zuschrift, bitten jedoch um Verständnis, dass wir nicht jede beantworten können.

Partnerinhalte

Bitte erlauben Sie Javascript, um die volle Funktionalität von Spektrum.de zu erhalten.