Lexikon der Mathematik: Bottscher Periodizitätssatz
Aussage über die Kommutativität eines im folgenden einzuführenden Abbildungsdiagramms.
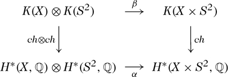
Sei X ein kompakter topologischer Raum, K(X) der sog. Grothendieck-Ring der stetigen komplexen Vektorbündel über X, und \({H}^{* }(X,{\mathbb{Q}})\) der Kohomologiering mit Werten in \({\mathbb{Q}}\). Sei weiter
\begin{eqnarray}ch:K(X)\to {H}^{* }(X,{\mathbb{Q}})\end{eqnarray}
der Ringhomomorphismus, gegeben durch den Chern-Charakter, und bezeichne S2 die ZweiSphäre.
Der Bottsche Periodizitätssatz besagt, daß das folgende Diagramm kommutiert:
© Springer-Verlag GmbH Deutschland 2017 Bild vergrößern
Hierbei ist β induziert durch das Tensorprodukt der Bündel und α durch das cup-Produkt. Die Abbildungen β und α sind Isomorphismen.
Copyright Springer Verlag GmbH Deutschland 2017

Wenn Sie inhaltliche Anmerkungen zu diesem Artikel haben, können Sie die Redaktion per E-Mail informieren. Wir lesen Ihre Zuschrift, bitten jedoch um Verständnis, dass wir nicht jede beantworten können.