Lexikon der Chemie: partielle molare Größen
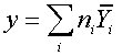
partielle molare Größen, speziell definierte molare Rechengrößen zur Beschreibung der thermodynamischen Eigenschaften realer Mischungen. Die Eigenschaften y idealer Mischungen setzen sich additiv aus den molaren Eigenschaften Yi der Bestandteile zusammen:

, wobei ni die Stoffmenge der Komponente i in der Mischung bedeutet (Thermodynamik, 1. Hauptsatz). Diese Additivitätsbeziehung gilt nicht für reale Mischungen, weil aufgrund der dort auftretenden Wechselwirkungskräfte Abweichungen resultieren. Für die durch den 2. Hauptsatz der Thermodynamik definierten Zustandsgrößen Entropie, freie Energie und freie Enthalpie gilt sie aber bereits in idealen Mischungen nicht, weil der freiwillige Mischvorgang zu Mischungsbeiträgen führt. Zur Bearbeitung der Eigenschaften solcher Mischphasen bestehen zwei Möglichkeiten: 1) die Einführung von Mischungs- und Exzeßfunktionen (Mischung) als Korrekturbeiträge für die gesamte Mischung oder 2) die Verlagerung dieser Korrektur auf die molaren Beiträge der einzelnen Komponenten, so daß die Additivitätsbeziehung wieder gilt. Der letzten Forderung entsprechen die p. m. G. Sie sind definiert durch die Beziehung Y-i= (∂y/∂ni)p,T,nj.
Dabei bedeuten ∂y die Änderung der Eigenschaft y der gesamten Mischung beim Zufügen einer differentiellen Menge ∂ni des Stoffes i, wobei der Druck p, die Temperatur T und die Zusammensetzung, gekennzeichnet durch die Gesamtheit der Stoffmengen nj, konstant gehalten werden. Es läßt sich zeigen, daß bei Verwendung p. m. G. die Additivitätsbeziehung

auch für die Zustandsgrößen des 2. Hauptsatzes gilt. Die p. m. G. sind im Gegensatz zu den molaren Zustandsgrößen abhängig von der Zusammensetzung der Mischphase und müssen experimentell für den gesamten Mischungsbereich bestimmt werden. Sie sind innerhalb einer Mischung durch die Gibbs-Duhemsche Gleichung miteinander verknüpft.
Copyright 1998 Spektrum Akademischer Verlag, Heidelberg
Wenn Sie inhaltliche Anmerkungen zu diesem Artikel haben, können Sie die Redaktion per E-Mail informieren. Wir lesen Ihre Zuschrift, bitten jedoch um Verständnis, dass wir nicht jede beantworten können.