Freistetters Formelwelt: Wir wollen Beweise sehen!

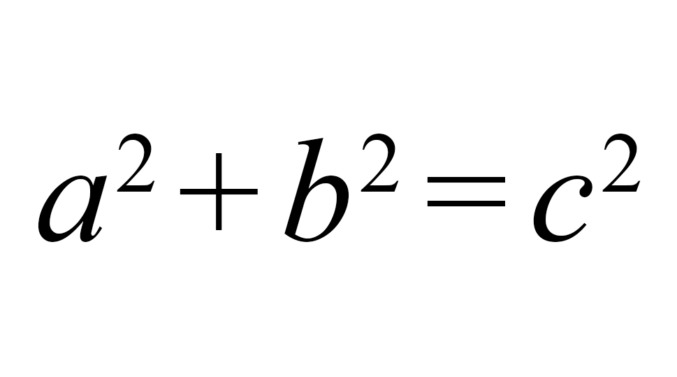
Der Satz des Pythagoras ist nach dem berühmten E = mc2 von Albert Einstein vermutlich die bekannteste Formel der Welt. Alle haben sie schon in der Schule gelernt, auch wenn der eine oder die andere vielleicht im Erwachsenenleben Schwierigkeiten hat, sich zu erinnern, was das nun eigentlich genau bedeutet. Es geht natürlich um rechtwinklige Dreiecke und die geometrische Tatsache, dass die Summe der Quadrate der Seitenlängen (a und b), die am rechten Winkel anliegen, gleich groß ist wie das Quadrat der dem rechten Winkel gegenüberliegenden Seite (c):
Benannt wurde diese Beziehung nach dem griechischen Mathematiker Pythagoras von Samos, der sie im 6. Jahrhundert v. Chr. erstmals bewiesen haben soll. Das ist aus historischer Sicht mittlerweile umstritten, denn bekannt war der Satz schon fast 1000 Jahre vorher in der babylonischen Hammurabi-Dynastie. Aber wer auch immer der (oder die) Erste war: Wir können uns sicher sein, dass der Satz definitiv bewiesen wurde. Nicht nur einmal, sondern immer wieder. Man kennt mehrere hundert Beweise; mehr als für jeden anderen mathematischen Satz.
Und im Vergleich zu anderen Aussagen der Mathematik ist es auch gar nicht so schwer, seine Gültigkeit zu beweisen. Trotzdem haben sich Mathematikerinnen und Mathematiker immer wieder aufs Neue dazu berufen gefühlt, seine Richtigkeit zu demonstrieren. Euklid hat ihn ebenso bewiesen wie Leonardo da Vinci. Es gibt Beweise aus Indien, aus Europa, aus der Antike und aus der Gegenwart. Es gibt geometrische Beweise, es gibt algebraische Beweise, und es gibt sogar mechanische Gerätschaften, mit denen sich der Beweis ohne eine Zeile Rechnung demonstrieren lässt. Albert Einstein etwa führte als Schüler den Beweis und beschrieb später, wie beeindruckt er war, dass man in der Mathematik Aussagen derart klar und mit solcher Sicherheit finden und beweisen konnte.
Darin liegt vermutlich auch der Grund, weshalb sich Menschen immer wieder mit der längst bekannten Aussage über die rechtwinkligen Dreiecke beschäftigen. Der Satz des Pythagoras ist einerseits so simpel, dass er tatsächlich von jedem Schulkind verstanden werden kann. Andererseits ist er leicht zu beweisen; im Gegensatz zu einigen ähnlich leicht verständlichen Aussagen, die sich lange hartnäckig einem Beweis widersetzt haben.
Man muss kein mathematisches Genie sein, um den Satz des Pythagoras zu beweisen. Das kann Jugendlichen ebenso gelingen wie interessierten Laien oder fachfremden Forscherinnen und Forschern. Die Beziehung über rechtwinklige Dreiecke stellt quasi eine Art »Einstiegsdroge« in die Mathematik dar, einen ohne große Schwierigkeiten zu erhaschenden Blick auf die Faszination, die diese Disziplin bereithält. Jeder Beweis belegt natürlich vor allem die Gültigkeit einer Aussage, liefert aber zugleich immer auch ein tieferes Verständnis der mathematischen Beziehungen. Und darum kann ein Satz eigentlich gar nicht oft genug bewiesen werden.
Einer der vielen prominenten Beweise stammt von James A. Garfield, der ihn im Jahr 1876 veröffentlichte (J. A. Garfield, »Pons Asinorum«, New England Journal of Education III/14, 1876). Garfield nutzte dafür eine geometrische Umformung, mit der er aus einem rechtwinkligen Dreieck ein aus drei ebenso rechtwinkligen Dreiecken zusammengesetztes Trapez konstruierte und aus dessen Flächeninhalt die Formel für den Satz des Pythagoras ableitete. Unter all den Beweisen sticht dieser zwar nicht besonders hervor, zumindest aus mathematischer Sicht. Bekannt ist er trotzdem, denn Garfield wurde 1881 zum 20. Präsident der Vereinigten Staaten gewählt. Ein amerikanischer Präsident, der mathematische Beweise führt: kaum vorstellbar angesichts der heutigen politischen Situation.
Schreiben Sie uns!
Beitrag schreiben