Lexikon der Mathematik: balancierte ternäre Darstellung
Darstellung einer reellen Zahl
Die balancierte ternäre Darstellung erlaubt es, jede ganze Zahl n mit \(|n|\le \frac{1}{2}({3}^{k}-1)\) eindeutig mit k Ziffern z0, …, zk− 1 ∈ {−1, 0,1} in der Form
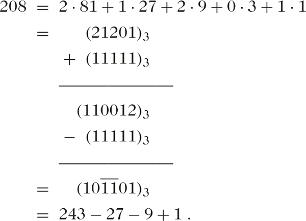
Man erhält die balancierte ternäre Darstellung einer Zahl n leicht aus der sog. ternären Darstellung von n, indem man zunächst eine genügend lange Ternärzahl mit lauter Einsen (111 … 111) ternär hinzuzählt und sodann ziffernweise wieder abzieht, z. B.:
208 = 2 · 81 + 1 · 27 + 2 · 9 + 0 · 3 + 1 · 1 = (21201)3 + (11111)3
(110012)3 — (11111)3
Ebenso wie die ternäre Darstellung ist die balancierte ternäre Darstellung einer reellen Zahl x genau dann endlich, wenn x eine rationale Zahl mit einem Nenner der Form 3m ist.
Die balancierte ternäre Darstellung ist implizit in Bachets Wägeproblem enthalten, explizit beschrieb sie 1840 Lalanne, der mechanische Rechenmaschinen entwarf.
Die Idee wurde ab etwa 1945 im Zusammenhang mit der Konstruktion elektronischer Computer wieder aufgegriffen, denn die balancierte ternäre Arithmetik besitzt kaum größere Komplexität als die binäre, und große oder genaue Zahlen erfordern in balancierter ternärer Darstellung nur knapp 2/3 der Stellenzahl ihrer Binärdarstellung. Außerdem geschieht das Runden einer Zahl zur nächstgelegenen ganzen Zahl einfach durch Abschneiden der Nachkommastellen. Der experimentelle russische Computer SETUN aus den 1960er Jahren arbeitete mit balancierter ternärer Arithmetik [1].

Wenn Sie inhaltliche Anmerkungen zu diesem Artikel haben, können Sie die Redaktion per E-Mail informieren. Wir lesen Ihre Zuschrift, bitten jedoch um Verständnis, dass wir nicht jede beantworten können.