Lexikon der Optik: Photonenzählung
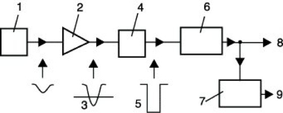
Photonenzählung (engl. photon counting), eine Meßtechnik im Rahmen der photoelektrischen Strahlungsmessung zur Erzielung höchster Nachweisempfindlichkeit. In der P. werden schnelle Photo-Sekundärelektronenvervielfacher mit hoher Verstärkung und geringem Dunkelstrom verwendet, deren Signalspannung uSig verstärkt und in einem Diskriminator mit einer Referenzspannung uRef verglichen wird (Abb.). Für uSig>uRef wird ein Standardimpuls (Zählimpuls) ausgelöst. Meßergebnis der P. ist die Anzahl der je Zeiteinheit registrierten Zählimpulse, die Genauigkeit wird durch die Anzahl der in derselben Zeit erhaltenen Dunkelimpulse (genauer, durch deren zeitliche Schwankung) bestimmt. Die so erreichbare Nachweisempfindlichkeit liegt bei wenigen Photonen pro Sekunde. Die Technik der P. wird vor allem in Untersuchungen zur Photonenstatistik und in der Ultrakurzzeitspektroskopie angewandt. Koinzidenzmessungen der P. liefern Aussagen über die zeitliche Verteilung des Auftreffens von Photonen auf dem Detektor und damit über Photonenkorrelationen in thermischer oder Laserstrahlung (Photonenstatistik). Dabei werden die Zählimpulse von zwei Photonenzähleinrichtungen einer Koinzidenzschaltung zugeführt und die je Zeiteinheit auftretenden Koinzidenzen gemessen. Die Genauigkeit wird durch die Torbreite TKoinz≈10-9s der Koinzidenzschaltung bestimmt, die ihrerseits von uSig abhängt.

Photonenzählung: Schema einer Photonenzähl-Meßeinrichtung. 1 Photoempfänger (SEV, Avalanche-Photodiode), 2 Verstärker, 3 Referenzspannung, 4 Diskriminator, 5 vom Diskriminator erzeugter Standardimpuls, 6 Zähler, 7 D/A-Wandler, 8 Digitalausgang, 9 Analogausgang.
Wenn Sie inhaltliche Anmerkungen zu diesem Artikel haben, können Sie die Redaktion per E-Mail informieren. Wir lesen Ihre Zuschrift, bitten jedoch um Verständnis, dass wir nicht jede beantworten können.