Lexikon der Optik: Strahlungsgesetze
Strahlungsgesetze, physikalische Gesetze, die die Intensität und die spektrale Zusammensetzung thermisch angeregter Strahlung beschreiben. Die entsprechenden Strahler heißen Temperaturstrahler, und die abgegebene Strahlung wird auch als Temperatur- oder Wärmestrahlung bezeichnet. Unter diesen Strahlern ist der schwarze Strahler von besonderer Bedeutung, weil seine Strahlung unabhängig von Materialeigenschaften ist und nur durch die Temperatur bestimmt wird. Bekannt sind folgende S.
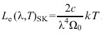
Plancksches S. Dieses wurde von M. Planck (1858-1947) im Jahre 1900 abgeleitet und hat fundamentale Bedeutung für die Physik. Es beschreibt die Abhängigkeit der spektralen Strahldichte Le(λ, T)SK des schwarzen Strahlers von der Temperatur T und der Wellenlänge λ (Abb.). Für unpolarisierte Strahlung hat es die Form:![]()
mit![]()
(1. Plancksche Strahlungskonstante), ![]()
(2. Plancksche Strahlungskonstante),
h=6,626176 10-34Js (Plancksches Wirkungsquantum), c=2,99792458·108ms-1 (Lichtgeschwindigkeit im Vakuum), k=1,380662·10-23 J/K (Boltzmann-Konstante) und Ω0=1 sr (Einheitsraumwinkel).
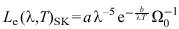
Rayleigh-Jeanssches S. Dies ist ein auf der Grundlage der klassischen Mechanik und statistischen Thermodynamik im Jahre 1900 abgeleitetes Gesetz. Es lautet![]()
.
Ihm zufolge würde die spektrale Strahldichte eines schwarzen Strahlers zu kürzeren Wellenlängen hin unbegrenzt wachsen, und zwar so stark, daß die Strahldichte ![]()
divergiert, was nicht sein kann. Diese als Ultraviolettkatastrophe bezeichnete Folgerung zeigte die Grenzen der klassischen Theorie auf.
Es erwies sich, daß die Gültigkeit des Rayleigh-Jeansschen S. auf hohe Temperaturen und den langwelligen Spektralbereich beschränkt ist. Für den Fall λT/c2![]()
1 folgt es als Näherung aus dem Planckschen S.
Wiensches Verschiebungsgesetz. Darunter versteht man die von W. Wien 1893 aus thermodynamischen Betrachtungen gefolgerte Gesetzmäßigkeit, die besagt, daß die spektrale Strahldichte eines schwarzen Strahlers von der Form![]()
sein muß. Daraus ergibt sich der folgende Zusammenhang zwischen der Wellenlänge λmax, bei der die spektrale Strahldichte ihr Maximum hat, und der Temperatur![]()
Das bedeutet, daß sich das Strahlungsmaximum mit steigender Temperatur zu kürzeren Wellenlängen hin verschiebt (Abb.).
Die Festlegung der Funktion f gelang erst M. Planck mit seinem S. Dieses liefert für die Wiensche Verschiebungskonstante den Wert b=2,8978·10-3 m·K.
Wiensches S. Dies ist ein von W. Wien 1896 aufgestelltes Gesetz, das dem von ihm gefundenen Verschiebungsgesetz und dem empirischen Befund Rechnung tragen sollte, daß die spektrale Strahldichte eines schwarzen Strahlers mit abnehmenden Werten λT nach Erreichen eines Maximums bis zu Null abfällt. Er gelangte zu der Strahlungsformel![]()
wobei a und b empirisch bestimmte Konstanten waren. Für nicht zu hohe Temperaturen und kleinere Wellenlängen ist es eine gute Näherung, die sich aus dem Planckschen S. für λT/c2![]()
1 ableiten läßt.
Stefan-Boltzmannsches Gesetz. Dieses von J. Stefan 1879 experimentell gefundene und von L. Boltzmann 1884 für den schwarzen Strahler abgeleitete Gesetz besagt, daß die spezifische Ausstrahlung M(T)SK der vierten Potenz der Temperatur T proportional ist. Es gilt![]()
mit σ=5,67032·10-8Wm2K-4 (Stefan-Boltzmannsche Strahlungskonstante). Man erhält es aus dem Planckschen S. durch Integration über alle Wellenlängen.
Kirchhoffsches Gesetz. Dieses wurde von G. Kirchhoff 1859 aus einer Betrachtung des Strahlungsgleichgewichtes in einem von strahlungsundurchlässigen Wänden gleicher Temperatur umschlossenen Hohlraum gefolgert. Es besagt, daß das Verhältnis des von einer Fläche in einen bestimmten Raumwinkel emittierten Strahlungsflusses zum Absorptionsgrad α(λ, T) dieser Fläche für alle Temperaturstrahler gleich ist, wenn sie die gleiche Temperatur haben.
Ist einer der Strahler der schwarze Strahler (für den definitionsgemäß α(λ,T)=1 gilt), so liefert das Kirchhoffsche Gesetz den folgenden Zusammenhang zwischen den spektralen Strahldichten eines Temperaturstrahlers und des schwarzen Strahlers![]()
Daraus ergibt sich, daß bei gleicher Temperatur und gleicher Wellenlänge kein Temperaturstrahler mehr Strahlung aussendet (eine höhere Strahldichte hat) als der schwarze Strahler. Weiterhin folgt daraus unter Berücksichtigung der Definition des Emissionsgrades, daß dieser und der Absorptionsgrad zahlenmäßig gleich sind.

Wenn Sie inhaltliche Anmerkungen zu diesem Artikel haben, können Sie die Redaktion per E-Mail informieren. Wir lesen Ihre Zuschrift, bitten jedoch um Verständnis, dass wir nicht jede beantworten können.