Lexikon der Optik: Phasenmessung an Interferenzstreifen
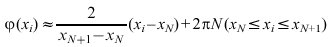
Phasenmessung an Interferenzstreifen, Bestimmung der relativen Phase zwischen den in einem beliebigen Punkte der Beobachtungsebene miteinander interferierenden Teilstrahlen. Da bekannt ist, daß diese Phase auf den Interferenzstreifen (Intensitätsmaxima) ein ganzzahliges Vielfaches von 2π ist und sich von Streifen zu Streifen um 2π ändert, kann sie näherungsweise durch lineare Interpolation ermittelt werden. Erfolgt die Interpolation längs einer Geraden senkrecht zu den Interferenzstreifen y=const, so ist also die Phase an der Stelle xi gegeben durch![]()
,
wobei xN und xN+1 die x-Koordinaten der beiden (auf aufeinanderfolgenden Interferenzstreifen liegenden) Punkte bezeichnet, an denen die Phase den Wert 2πN bzw. 2π(N+1) (N ganz) annimmt.
Durch Abtasten können die Lagen der Intensitätsmaxima sukzessive bestimmt werden und damit auch die Phasen ϕ (x, y) in einem (x, y)-Koordinatennetz. In Spezialfällen wie z.B. der Vermessung von Schichtdicken oder der Prüfung mit einem Probeglas begnügt man sich mit einem oder wenigen, über das Meßobjekt verteilten Meßwerten. Für eine Schichtdickenmessung ist die Meßmethode in der Abb. dargestellt.

Wenn Sie inhaltliche Anmerkungen zu diesem Artikel haben, können Sie die Redaktion per E-Mail informieren. Wir lesen Ihre Zuschrift, bitten jedoch um Verständnis, dass wir nicht jede beantworten können.