Lexikon der Optik: partiell kohärente Abbildung
partiell kohärente Abbildung, reale optische Abbildung von Durchlichtobjekten mit beugungsbegrenzten Systemen hoher Auflösung, bei Durchlichtbeleuchtung mit einer ausgedehnten künstlichen Lichtquelle, die durch einen Kondensor in die Pupillenebene abgebildet wird. Unter p. k. A. im engeren Sinne versteht man die Abbildung mit KohärenzparameternS im Intervall 1>S>0, d.h. mit nur teilweiser Ausleuchtung der Pupille (Abb. 1). Bei der p. k. A. wird das Objekt durch die von den einzelnen Lichtquellenpunkten XL (X reduzierter Koordinatenvektor) ausgehenden Wellen beleuchtet, deren komplexe Amplituden ![]()
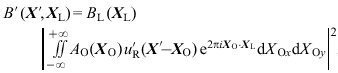
(BL(XL) Leuchtdichteverteilung der Lichtquelle) in der Objektebene sich um die Phasendifferenzen 2πXO·XL unterscheiden. Aus der komplexen Amplitudentransparenz des Objektes AO(XO) ergeben sich für die einzelnen Lichtquellenpunkte unterschiedliche Objektamplitudenverläufe uO(XO,XL)= AO(XO)uL(XO,XL), aus denen die Amplitudenverwaschungsfunktion des optischen Systems u ![]()
(X'-XO) entsprechende Bildamplitudenverteilungen![]()
erzeugt. Entsprechend ergeben die einzelnen Lichtquellenpunkte durch Interferenz des am Objekt und an der Blende gefilterten und gebeugten Lichtes untereinander oder mit dem ungebeugten Licht die Bildintensitätsverteilungen
,
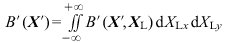
die sich additiv zur Gesamtbildintensitätsverteilung ![]()
überlagern (Abbildung 2). Dabei bezeichnen k die Wellenzahl, p die Pupillenschnittweite und X', XO und XLreduzierte Koordinaten in der Bild-, Objekt- und Pupillenebene (für das abgebildete Lichtquellenbild).
Bei der p. k. A. werden nur Kohärenzfunktionen, aber nicht Intensitäts- oder Amplitudenverteilungen linear übertragen. Das Auflösungsvermögen und die Kantenschärfe liegen zwischen den Werten für die inkohärente Abbildung und die kohärente Abbildung. Mit Verkleinerung des Kohärenzparameters kommt es sowohl zum Abbau der beugungsbedingten Strukturverwaschung und zur Erhöhung der Kantenschärfe als auch zu einer den Bildinhalt verfälschenden Pseudostrukturierung durch unerwünschte Störinterferenzen und damit über eine nichtlineare Verzerrung der Bildintensitätsverteilung zu von der Objektstruktur abhängigen Verlusten an Objektähnlichkeit, Kontrasttreue und Auflösung (Abb. 3). Diese Bildstörungen sind besonders groß bei Kohärenzparametern unter 0,4, für die die Auffangebene bester Abbildungstreue gegenüber der der besten Definitionshelligkeit defokussiert ist. Optimale Abbildungseigenschaften unter Unterdrückung des Einflusses der Aberrationen liegen für Kohärenzparameter zwischen 0,6 und 0,7 vor.

Partiell kohärente Abbildung 1: Partiell kohärente Abbildung mit beugungsbedingter Verschiebung des die Pupille nicht vollständig ausleuchtenden Lichtquellenbildes um den reduzierten Ortsfrequenzvektor W. X, X' reduzierte Koordinatenvektoren.

Partiell kohärente Abbildung 2: Bildentstehung bei partiell kohärenter Abbildung von drei Objektpunkten A, B und C, die durch einen axialen (a) und einen außeraxialen (b) Lichtquellenpunkt beleuchtet werden.

Partiell kohärente Abbildung 3: Einfluß des Kohärenzparameters S auf die Abbildung einer unsymmetrischen Doppelspaltstruktur bei Koma 3. Ordnung und 80% Definitionshelligkeit. a) Intensitätsverteilung, b) Isophotendarstellung. σ' Aperturwinkel, λ Wellenlänge.
Wenn Sie inhaltliche Anmerkungen zu diesem Artikel haben, können Sie die Redaktion per E-Mail informieren. Wir lesen Ihre Zuschrift, bitten jedoch um Verständnis, dass wir nicht jede beantworten können.