Lexikon der Astronomie: Schwarzschild-Lösung
Die Schwarzschild-Lösung ist die erste Lösung der Einsteinschen Feldgleichungen, die 1916 von dem deutschen Astrophysiker Karl Schwarzschild (1873 – 1916) gefunden wurde. Albert Einstein war sehr verwundert darüber, dass bereits im Publikationsjahr seiner Allgemeinen Relativitätstheorie eine Lösung gefunden wurde, denn die Struktur der nichtlinearen, gekoppelten, partiellen Differentialgleichungen erschien ihm so kompliziert, dass er sich nicht vorstellen konnte, dass sie so schnell jemand lösen würde.
Was beschreibt die Schwarzschild-Lösung?
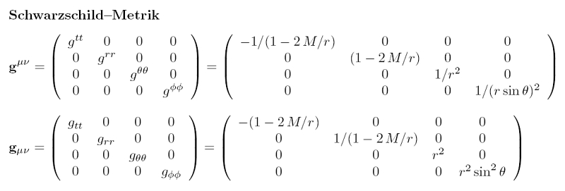
Allgemein gesprochen beschreibt die Schwarzschild-Lösung den kugelsymmetrischen, materiefreien Außenraum einer elektrisch ungeladenen, nicht-rotierenden Punktmasse. In den Anfängen wurde sie meist für die relativistische Beschreibung der Gravitation von langsam rotierenden Sternen wie der Sonne verwendet – das ist auch heute noch eine gute Approximation. Viel später brachte man die Schwarzschild-Metrik mit den Schwarzen Löchern in Zusammenhang. Die Schwarzschild-Lösung beschreibt eine kugelsymmetrische Vakuum-Lösung der Feldgleichungen (ohne Λ-Term) und wird als Außenraumlösung nicht-rotierender, ungeladener Schwarzer Löcher interpretiert. Üblicherweise notiert man die Schwarzschild-Geometrie in folgender Weise als Linienelement:

Alternativ kann man auch nur den metrischen Tensor der Schwarzschild-Metrik in Matrixform notieren. Wie man sieht hängt diese Raumzeit nur von einem einzigen Parameter ab, der mit der Punktmasse bzw. Lochmasse M assoziiert ist.

Eigenschaften im Vergleich mit der Kerr-Lösung
Die Schwarzschild-Lösung ist der Spezialfall der rotierenden Kerr-Lösung. Setzt man in der Kerr-Lösung den Rotationsparameter (Kerr-Parameter) null, a = 0, so resultiert die statische Schwarzschild-Lösung. Der Schwarzschildradius ist der Abstand, wo die Entweichgeschwindigkeit gerade gleich der Lichtgeschwindigkeit wird und beträgt zwei Gravitationsradien. Diese Grenze nennt man Ereignishorizont des Schwarzschild-Loches, weil Ereignisse innerhalb dieser Grenze nicht zu einem Außenbeobachter dringen können. Nimmt man den Ereignishorizont als Kriterium und setzt gleiche Lochmassen voraus, so ist das Schwarzschild-Loch von seiner radialen Ausdehnung in der Äquatorebene her gerade doppelt so groß als ein Kerr-Loch, das maximal (a = M in geometrisierten Einheiten) rotiert; denn beim Kerr-Loch liegt der äußere Horizont bei nur einem Gravitationsradius. Außerdem besitzt das Kerr-Loch eine an den Polen abgeplattete Ergosphäre. Bei Kerr-Löchern ist die intrinsische Singularität eine axialsymmetrische Ringsingularität. Bei der Schwarzschild-Geometrie ist es hingegen eine Punktsingularität – beide sind dennoch bei r = 0 lokalisiert, wie eine Diskussion der Riemannschen Invarianten wie dem Kretschmann-Skalar zeigt. Zusammenfassend stellt die Abbildung oben die Strukturen des statischen Loches (links) dem rotierenden Loch (rechts) gegenüber.
innere Schwarzschild-Lösung
Im gleichen Jahr, in dem Karl Schwarzschild die erste Lösung der Einstein-Gleichung veröffentlichte, fand er eine zweite Lösung! Heute bezeichnet man die erste als äußere Schwarzschild-Lösung, die zweite als innere Schwarzschild-Lösung. Sie unterscheiden sich dadurch, dass der Energie-Impuls-Tensor für die äußere Lösung global verschwindet, es handelt sich also um eine Vakuumlösung. Außerdem weist diese Metrik, die einen idealisierten Massenpunkt beschreibt, eine zentrale, echte Singularität beim Radius r = 0 auf.
Die innere Schwarzschild-Lösung hingegen ist etwas komplizierter: Schwarzschild nahm eine Kugel an, die aus einer idealen, d.h. inkompressiblen Flüssigkeit bestehe. An der Oberfläche dieser Kugel verschwindet wie bei einem Stern der Druck. Der Energie-Impuls-Tensor dieser Flüssigkeitskugel ist nicht null, aber von relativ einfacher Gestalt. Als 4 × 4-Matrix geschrieben, verschwinden alle Komponenten, außer denjenigen auf der Matrixdiagonalen. Im Gegensatz zur äußeren Schwarzschild-Lösung hat die innere Lösung keine Singularität mehr. Der Außenraum der Kugel entspricht der äußeren Metrik, während der Innenraum neue Eigenschaften aufweist.
Die (äußere) Schwarzschild-Lösung zeigt die Gültigkeit des Birkhoffschen Theorems und war ein historischer Erfolg für die Allgemeine Relativitätstheorie.
Aber: kosmische Schwarze Löcher rotieren
Es ist sehr wahrscheinlich, dass die meisten Schwarzen Löcher im Kosmos durch die Kerr-Lösung beschrieben werden, weil der Entstehungsprozess Schwarzer Löcher mit einer Rotation der kollabierenden Objekte verbunden ist. Ein Beispiel ist das dramatische Schicksal eines massereichen, 'sterbenden' Sterns, wie es unter dem Eintrag Hypernova geschildert wird. Im Kollaps können alle Abweichungen von der sphärischen Symmetrie durch die Aussendung von Gravitationswellen abgestrahlt werden, nur nicht Drehimpuls! Dennoch sind nicht rotierende Schwarze Löcher nicht 'akademisch', weil Prozesse existieren, wie der Penrose-Prozess, der Blandford-Znajek-Mechanismus, oder gravitomagnetische Dynamos, die den Drehimpuls eines Kerr-Lochs reduzieren können, bis sie ggf. nicht mehr rotieren könnten. Eine Realisierung der Schwarzschild-Lösung in der Natur ist daher denkbar.
Es ist davon auszugehen, dass die meisten Schwarzen Löcher rotieren, weil es unwahrscheinlich ist, dass der Drehimpuls des Vorgängerobjekts, z.B. der Vorgängergaswolke oder des Vorgängersterns, komplett abtransportiert werden konnte. Das ist insbesondere bei der Bildung stellarer Schwarzer Löcher zu erwarten. Im Allgemeinen sorgt Akkretion von Materie mit Drehimpuls immer für eine Erhöhung des Drehimpulses ('Aufziehen', engl. spin-up) des Loches sorgt, gerade bei den schon sehr lange akkretierenden supermassereichen Schwarzen Löchern, von deren Existenz die Astronomen in den Zentren von Galaxien, vor allem in den Aktiven Galaktischen Kernen (AGN) ausgehen.
Schwarzschild-Lösung ist besonders stabil
Ein wichtiges Kriterium für Lösungen der Einsteinschen Feldgleichungen ist deren Stabilität. Die Relativitätstheoretiker untersuchten in einer Stabilitätsanalyse der Metrik, wie sie sich unter kleinen, nicht kugelsymmetrischen Störungen verhält: Sie konnten zeigen, dass die gestörte Metrik in die ursprüngliche Lösung zurück schwingt (Regge & Wheeler 1957). Die Schwarzschild-Raumzeit kann unter diesem Gesichtspunkt als besonders stabil angesehen werden. Gewissermaßen ist sie der Grundzustand der relativistischen Gravitation. Demgegenüber ist die Kerr-Lösung zwar stabil gegen axialsymmetrische Störungen: es ist allerdings im Rahmen der Theorie zulässig, dass Penrose-Prozesse oder Blandford-Znajek-Mechanismen die Rotationsenergie vollständig extrahieren, so dass aus dem Kerr- ein Schwarzschild-Loch wird. In diesem Sinne ist die Kerr-Metrik weniger stabil.
Über die Existenz der Schwarzschild-Singularität
Die Existenz von Punkten in der Natur ist fragwürdig. Denn die Quantentheorie, insbesondere die Heisenbergsche Unschärferelation, legt nahe, dass jedes Objekt der Natur eine Minimalausdehnung hat. Aus dieser Perspektive ist auch die Existenz von Punktsingularitäten, wie diejenige der Schwarzschild-Lösung, zweifelhaft. Die Allgemeine Relativitätstheorie ist eine klassische, unquantisierte Theorie. Es ist denkbar, dass Singularitäten ein Artefakt einer solchen unquantisierten und unvollständigen Beschreibung sind.
Erstaunlicherweise ist es gelungen, Lösungen von Einsteins Feldgleichungen zu finden, die in den Außenbereichen mit der Schwarzschild-Raumzeit übereinstimmen, aber im Innern keine Punktsingularität aufweisen. Neben der bereits dargestellten inneren Schwarzschild-Lösung sind das der Gravastern und der Holostern. Der Gravastern hat anstelle der Singularität einen Kern aus Dunkler Energie. Der Holostern besitzt einen Kern aus radial gespannten Strings. Diese modernen Alternativen sind (soweit Physiker heute wissen) mit den Konzepten der Quantenphysik verträglich. Beide sind statisch. Der Gravastern ist regulär, wohingegen der Holostern eine Krümmungssingularität aufweist. Und interessanterweise haben beide Lösungen keinen Ereignishorizont: Licht kann ihnen also entkommen! Die provokante Frage lautet: Sind klassische Schwarze Löcher akademisch und die kompakten Kandidaten für Schwarze Löcher in Wahrheit Gravasterne oder Holosterne? Aus der Sicht des Astrophysikers muss diese Frage bisher verneint werden. Der Grund ist, dass Astronomen eine Vielzahl von kosmischen Objekten nur mit rotierenden Schwarzen Löchern verstehen können – Gravastern und Holostern rotieren jedoch nicht. Die Frage müsste erneut geprüft werden, wenn rotierende Verallgemeinerungen von Gravastern und Holostern in der Theorie gefunden werden – falls das möglich ist.
Mehr Informationen
- umfangreicher Web-Artikel: Schwarze Löcher – Das dunkelste Geheimnis der Gravitation, darin speziell das Kapitel zur Schwarzschild-Lösung.
- Schwarzschilds Originalpapiere aus dem Jahr 1916 wurden 1999 ins Englische übersetzt und stehen auf dem ePrint-Server zur Verfügung: Über das Gravitationsfeld eines Massenpunktes nach der Einsteinschen Theorie und Über das Gravitationsfeld einer Kugel aus inkompressibler Flüssigkeit nach der Einsteinschen Theorie
Wenn Sie inhaltliche Anmerkungen zu diesem Artikel haben, können Sie die Redaktion per E-Mail informieren. Wir lesen Ihre Zuschrift, bitten jedoch um Verständnis, dass wir nicht jede beantworten können.